Beyond Body Count: How Many Past Partners Are Too Many?
Our new paper in Nature's Scientific Reports
In Case You Missed It…
By now, you’ve probably come across the term body count - not in the traditional military sense but in the modern dating sense. It refers to the number of past sexual partners a person has had. The phrase suddenly seems to be everywhere - or at least everywhere online - often in the context of criticizing people for supposedly having too high or too low a body count. A common claim is that a high body count is fine or even desirable for men but undesirable for women, suggesting the persistence of a traditional sexual double standard.
But do people really care about a prospective partner’s body count? If they do, is this just a Western thing, or is it found across countries and cultures? And is there really still a sexual double standard when it comes to people’s romantic history?
These are the questions that my colleagues and I set out to answer in recent cross-cultural research published in Scientific Reports. The work was led by my colleague, friend, and former PhD student Andrew Thomas of Swansea University in Wales, and built on earlier research we did together when I was a lecturer there. Our aim was to determine whether concern about a prospective mate’s body count is found across cultures, what exactly it is that people are concerned about, and whether men judge women’s sexual history more harshly than women judge men’s.
TL;DR: It’s not just how many partners someone’s had that matters, but when they had them and whether the pace is slowing down. And if there’s still a sexual double standard, we didn’t detect it in our data!
The Evolutionary Puzzle of Sexual History
Humans have an enduring fascination with other people’s sex lives. Tell someone about exciting new research on traffic patterns, and they’ll politely nod along. But merely hint at a romantic scandal, and you immediately have their full attention.
And we don’t process this information like dispassionate robots. Even the most open-minded among us often find ourselves judging other people’s romantic adventures and misadventures - sometimes positively; often not-so positively.
Why are we like this? Why are we so obsessed with other people’s love lives, and why do we make the particular judgments we make?
Many would argue that these things are purely sociological: Our interests and moral convictions are cultivated by the local culture and are ultimately arbitrary conventions, like whether we read from left to right or right to left. Change the culture, the argument goes, and we’d be just as interested in aardvarks or water polo, and we’d make the opposite moral judgments to those we make today.
I don’t buy it. For one thing, our fascination with other people’s sexual behavior - and our knee-jerk tendency to moralize about it - are found everywhere in the world. For another, many of the judgments we make seem to cut across cultural lines. Is there a society anywhere, for instance, where people think it’s wonderful when a partner cheats on them or when someone lies to get a friend into bed?
On top of that, our preoccupation with people’s sexual history makes good sense from an evolutionary perspective, especially in the context of mate choice. This is because past behavior is the best predictor of future behavior, and thus a person’s sexual history carries crucial information about possible risks and rewards of getting romantically involved with them. It would be surprising if people weren’t highly attuned to it.
One variable that might be particularly salient is a person’s past partner number, or what’s now known colloquially as their body count. There are good reasons to expect people to care about body count, and to prefer someone whose partner tally is relatively low rather than relatively high.
Why? Because although someone with an extensive résumé of past lovers could be a good long-term mate, they’re statistically a somewhat riskier bet. They may be more likely to stray, and less likely to commit for the long haul. For men throughout our evolutionary history, this meant an increased chance of ending up investing in another man’s child; for women, it meant an increased chance of being left holding the baby. And for both sexes, more past partners meant an increased risk of sexually transmitted infections.
Given these risks, it makes sense that people would generally prefer partners with fewer past lovers. They might not necessarily want partners with none; in societies where premarital sex is permissible and common, zero experience could also be seen as a red flag. In general, though, less may be more.
A Bit of a Past, But Not Too Much
In a 2017 study, Andrew Thomas, Caroline Butler, and I put these ideas to the test with a sample of young adults in the UK. The results were exactly what evolutionary reasoning would predict: People preferred prospective partners with a relatively low body count.
As shown in the graph below, the sweet spot was two to four past partners; fewer or more reduced attractiveness. In effect, people wanted someone with a bit of a past, but not too much (which was the title of our paper describing the research).
Intriguingly, we found no evidence for a sexual double standard: none, zilch, nada. Contrary to what’s often claimed, women weren’t judged any more harshly than men for having a high body count. That’s not to say they weren’t judged for it, but only that men were judged too.
This can be seen in the next graph. The left panel shows willingness ratings for long-term relationships, the right panel for short-term ones. As you can see, the sexes barely differed in their willingness to engage in long-term relationships. For short-term relationships, in contrast, men expressed greater willingness at every past-partner level.
These results fit nicely with a key claim of evolutionary psychology: namely that for short-term relationships, men are less choosy than women, whereas for long-term ones, the sexes are about as choosy as each other. The results don’t fit, however, with the idea that there’s a sexual double standard such that women are judged more harshly than men for their prior sexual behavior.
Body Count Isn’t the Whole Story
Fast-forward a few years, and Andrew decided it was time to revisit the topic. He had several reasons for this.
First, our original study was conducted in the UK only, leaving it uncertain whether the preference for a lower body count would replicate in other countries and cultures. Based on our evolutionary explanation for the effect, we suspected that it would. But suspicions are never enough in science, and we wanted to put our money where our mouth was.
Second, we wanted to test a new hypothesis. Somewhere along the line, you see, Andrew had had a brainwave: People don’t just care about how many individuals someone has slept with; they also care about when those encounters happened.
To give you an intuitive feel for the idea, imagine two people, both with four past partners. Person A racked them all up in the last six months. Person B spread them out over five years. If you were looking for a serious relationship, who would you be more likely to pick?
Our guess - as I’m sure you’ve guessed - was that most people would opt for Person B. The rationale is simple: While past behavior is a good predictor of future behavior, recent past behavior is a better predictor than ancient history.
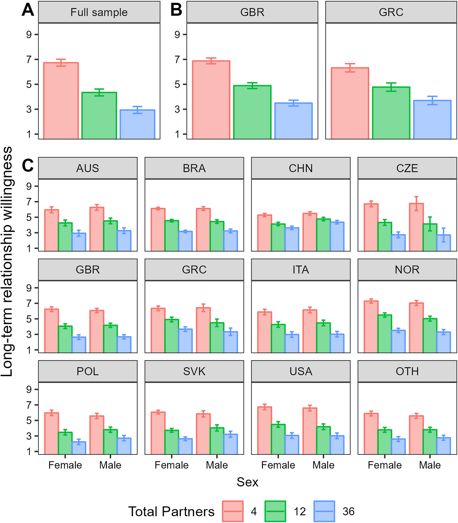
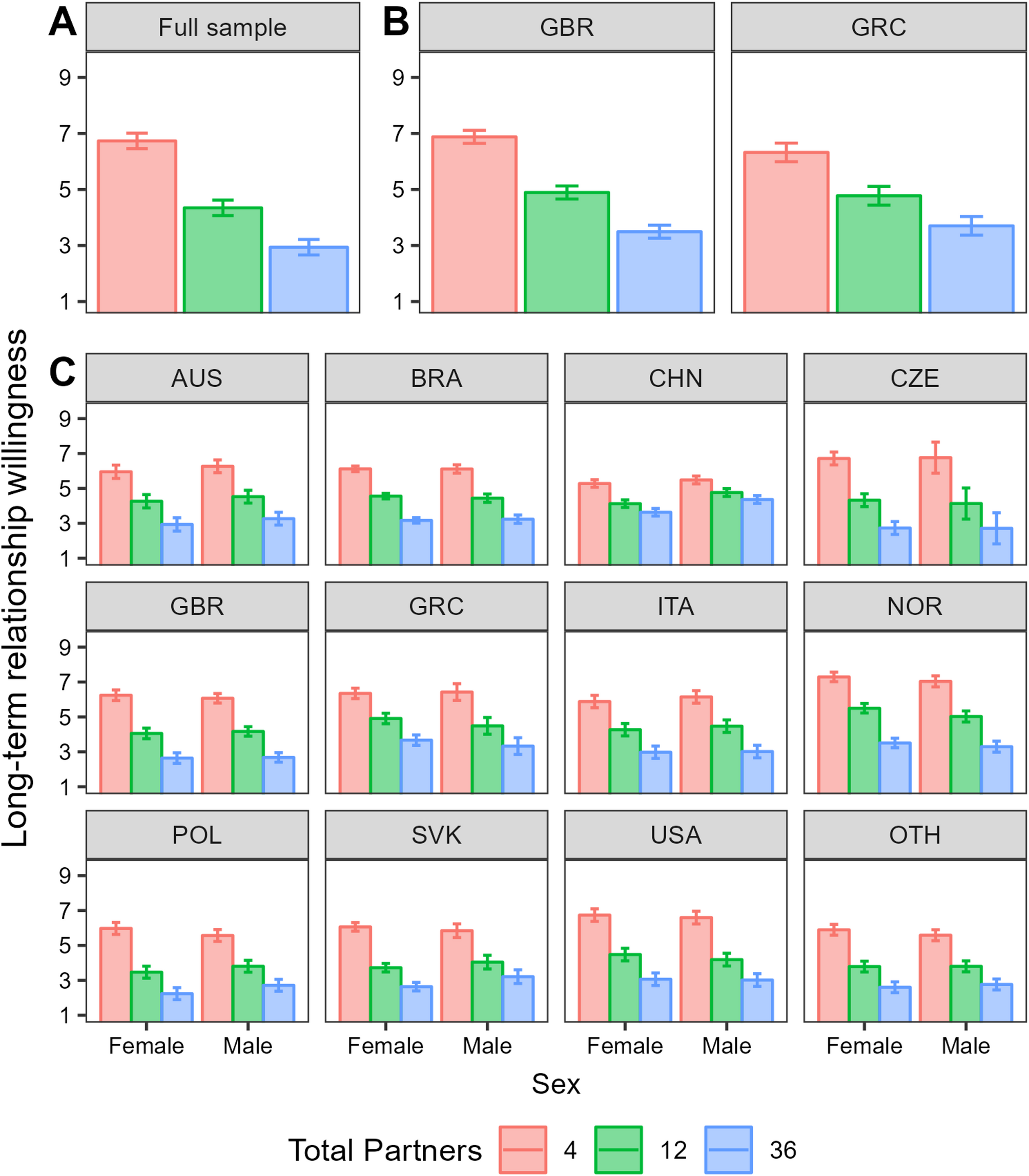
Our New Cross-Cultural Study
To address these issues, we ran three new studies, recruiting more than 5,000 participants from 11 countries across five continents: Europe, North America, South America, Asia, and Australasia. The average age of our participants spanned from the early 20s to the mid-30s, with roughly equal numbers of men and women.
In each study, we presented participants with visual representations of people’s sexual histories, then asked them to rate how willing they’d be to get involved with the individuals in question. The sexual histories varied along two dimensions:
Total number of past partners: four, twelve, or thirty-six.
Distribution over time: fifteen distributions, ranging from all partners in the recent past, to evenly spread out across adulthood, to all in the distant past.
The figure shows a sample of the distributions.
What Did We Find?
Here are the three main findings emerging from our research.
1. Body Count Is a Big Deal Everywhere
In all three studies, we found a strong effect of body count on people’s willingness to pursue a long-term relationship with the target individual: The higher the body count, the less willing they were. Four past partners were better than twelve; twelve were better than thirty-six.
As expected, this pattern held in every nation we surveyed. The strength of the effect varied somewhat from nation to nation; it was weaker, for instance, in more sexually liberal countries like Norway and the US than in less liberal ones like China or Poland. But the effect was always present, was always strong, and always went in the same direction. See for yourself!

As with our original study, there was no sign of a sexual double standard. Women with high body counts weren’t judged any more harshly than men in the same boat, even in sexually conservative nations.
2. People Prefer Partners With a Past That’s Slowing Down
In all three studies and in every country, people expressed greater willingness to get involved with individuals whose number of new partners was decreasing over time. A partner who’d “settled down,” so to speak, was consistently more appealing than one whose rate of “new recruits” was ramping up or even holding steady. The effect of partner distribution was smaller than the effect of body count, but was still far from trivial - particularly when the total number of past partners was high.
Once again, we found little in the way of sex differences in willingness to get involved, and little in the way of a sexual double standard.

3. People High in Sociosexuality Are Less Swayed by Body Count
A final result was that people who scored high in sociosexuality - in other words, those more open to casual sexual relationships - were less affected by both partner number and partner distribution. But even these individuals weren’t completely immune. Both effects were still present; they were just muted.

An interesting wrinkle is that sociosexuality explained more variation in people’s willingness ratings than did country of origin. We sometimes talk as if cross-cultural differences are vast. Often, however, they’re dwarfed by differences between individuals within a given culture. This is one example.
Summing Up
Let’s recap the main findings.
People care about a prospective mate’s sexual history. A high number of past partners is usually a red flag.
It’s not just the number that matters; it’s also the timing. Past partners are less of an issue if they’re further in the rearview mirror.
These patterns showed up across cultures, pointing to deep evolutionary roots.
There was no evidence of a sexual double standard. We’re often told that women are judged more harshly than men for their sexual antics. Our results add to a growing body of research challenging that assertion.
In short, when it comes to body count, the Goldilocks rule applies: not too few, not too many - and slowing down is better than speeding up.
Over and out!
Follow me on Twitter/X for more psychology, evolution, and science.
Further Reading
You can read our paper here for free, and read Andrew’s excellent Twitter/X thread about the research here.
If you’re hungry for more evolutionary psychology, you can read the first chapter of my book The Ape That Understood the Universe for free here.






It would be interesting to see research where women were asked about specific men and their sexual past. Anecdotally at least, women don't care about the sexual history of high status men. With an average man however it will be important as she sizes him up as "husband material." This is what we see in every day life.
I’m thinking of how we judge our own sex, not how we choose mates. For instance, do you think men admire peers with high body counts? I always thought they did. Andrew Tate and other successfully promiscuous men even write books and have podcasts to teach other men the art of the pickup, or whatever.
For women, I’m less sure, because attitudes have changed as we (western women) have become less religious and more secular. I know amongst my own peers, a high body-count for a woman might indicate an indiscriminate nature, recklessness and lack of self-worth. Or perhaps a “You go girl!” encouragement. It would depend on the context. That of course is totally anecdotal, but I would be curious to know more.