Self-Esteem, Microaggressions, and the IKEA Effect
The Nature-Nurture-Nietzsche Linkfest for October 2025
Welcome to the October 2025 edition of the N3 Newsletter Linkfest: a monthly roundup of studies and stories that caught my eye over the last few weeks. On the menu this time, we’ve got five interesting facts about self-esteem, the first known case of a nonhuman animal whose evolution has been shaped by its culture, a major breakthrough in embryo selection for intelligence, and three new findings on sex differences. On top of that, we’ll explore the IKEA effect - the finding that people value things more when they build them themselves - and new research showing that people reach their peak later than previously thought. Hope you enjoy the collection!
You can browse the full archive of Linkfests here.
Better All the Time
Let’s start with something positive. The animation below shows the dramatic decline in infant mortality in Africa from the 1950s until today. Behind those shrinking bars lies a monumental achievement: the avoidance of unimaginable amounts of human suffering. Credit to @countcarbon, formerly on Twitter/X, who created the animation from data compiled by Our World in Data. [Link.]
Five Interesting Facts About Self-Esteem
Men, on average, have higher self-esteem than women. [Link.]
Women with larger breasts have higher self-esteem than those with smaller ones. [Link.]
Self-esteem is a facet of the Big Five trait of neuroticism: High self-esteem goes hand in hand with lower neuroticism. [Link.]
Self-rated IQ is a terrible measure of IQ, but an excellent measure of self-esteem. [Link.]
The gold standard questionnaire for measuring self-esteem is the multi-item Rosenberg Self-Esteem Scale. But one study found an alternative way to measure this trait which does an equally good job: Just ask people how much they agree with the statement “I have high self-esteem.” [Link.]
Reading Is Going Out of Fashion
This can’t be good… [Link.]
Donuts Explain Everything
An all-time classic meme: Philosophy explained with donuts. [Source unknown.]
Microaggressions: Strong Feelings, Weak Evidence
Social psychologist Lee Jussim has a sharp new essay dissecting the research on microaggressions. The title captures the core argument nicely: “Research on Microaggressions and Their Impacts Assesses Neither Microaggressions nor Their Impacts.” Jussim observes that the research has focused on two main things:
People’s subjective reports of having experienced microaggressions.
The variables correlated with those subjective reports, such as stress and depression.
There’s been no attempt, however, to determine whether perceived microaggressions actually stem from prejudiced attitudes. And there’s also been no attempt to determine whether perceived microaggressions cause stress and depression (an alternative possibility would be that people prone to stress and depression are more likely to interpret ambiguous events as microaggressions). In short, after half a century of research on the topic, the core assumptions of the microaggression framework remain untested. [Link.]
When Culture Shapes Biology
A fascinating 2016 paper reveals that not only do different orca groups have different cultures, they’ve evolved biologically in response to those cultures. For example, different groups have evolved different dietary adaptations depending on whether they hunt marine mammals, fish, or penguins. This is the first confirmed case of gene-culture coevolution in a nonhuman animal. [Link.]

Designing Minds: The Rise of Embryo Selection for Intelligence
A company called Herasight recently unveiled a genetic test - CogPGT - that can predict the likely IQ of a fertilized egg with unprecedented accuracy. According to the developers, parents who choose the embryo with the highest CogPGT score could expect an average IQ boost for their children of up to nine points. And it doesn’t stop there: Higher CogPGT scores are also associated with better physical health, better mental health, and greater educational attainment, occupational status, and income. [Link.]
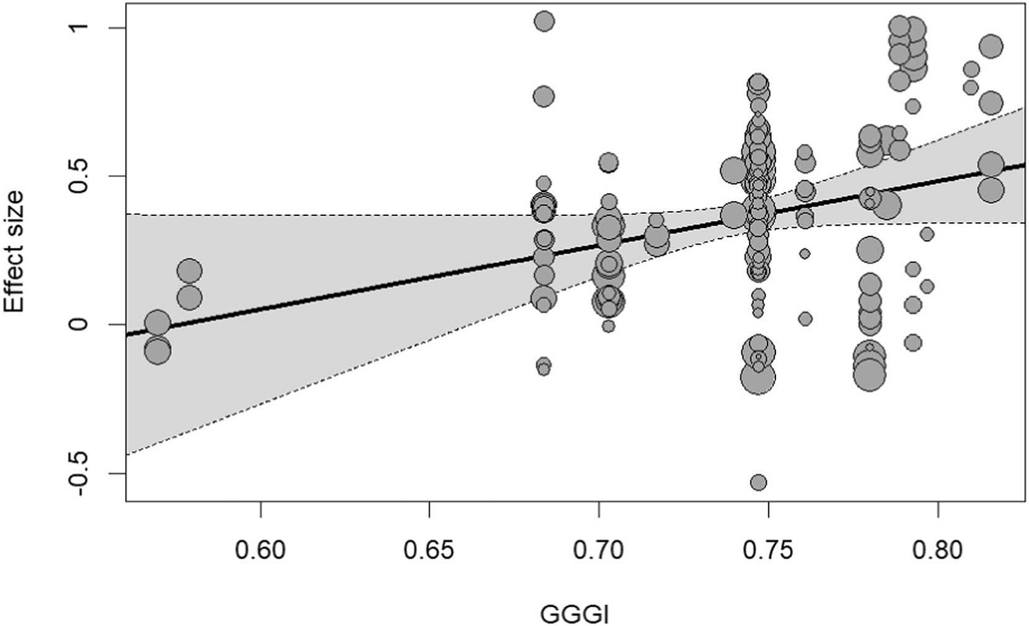
Three New Findings on Sex Differences
Women have traditionally been judged more on their looks than men have - but has this tendency declined as societies have become more gender-equal? Apparently not. A new cross-cultural study finds that women all over the world are still more likely than men to be concerned about their looks. Not only that, but the gaps are larger, rather than smaller, in more gender-equal nations - yet another example of the gender-equality paradox. [Link.]








