Smarter People Are Less Violent
As IQ rises, aggression falls - and the effect is surprisingly linear
In Case You Missed It…
Sex Differences in Work Preferences, Life Values, and Personal Views [No paywall]
Beyond General Intelligence: The Genetics of Specific Cognitive Abilities
Some News
Universidad Francisco Marroquín Madrid is hosting a conference about my book, The Ape That Understood the Universe! You can find the details here.
Mid-Week Post: Smarter People Are Less Violent
Does a person’s IQ affect their likelihood of behaving violently? Evidence from a large, nationally representative UK study suggests that it does: People with higher IQs are substantially less likely to get into physical fights or deliberately hit someone than their lower-IQ counterparts.
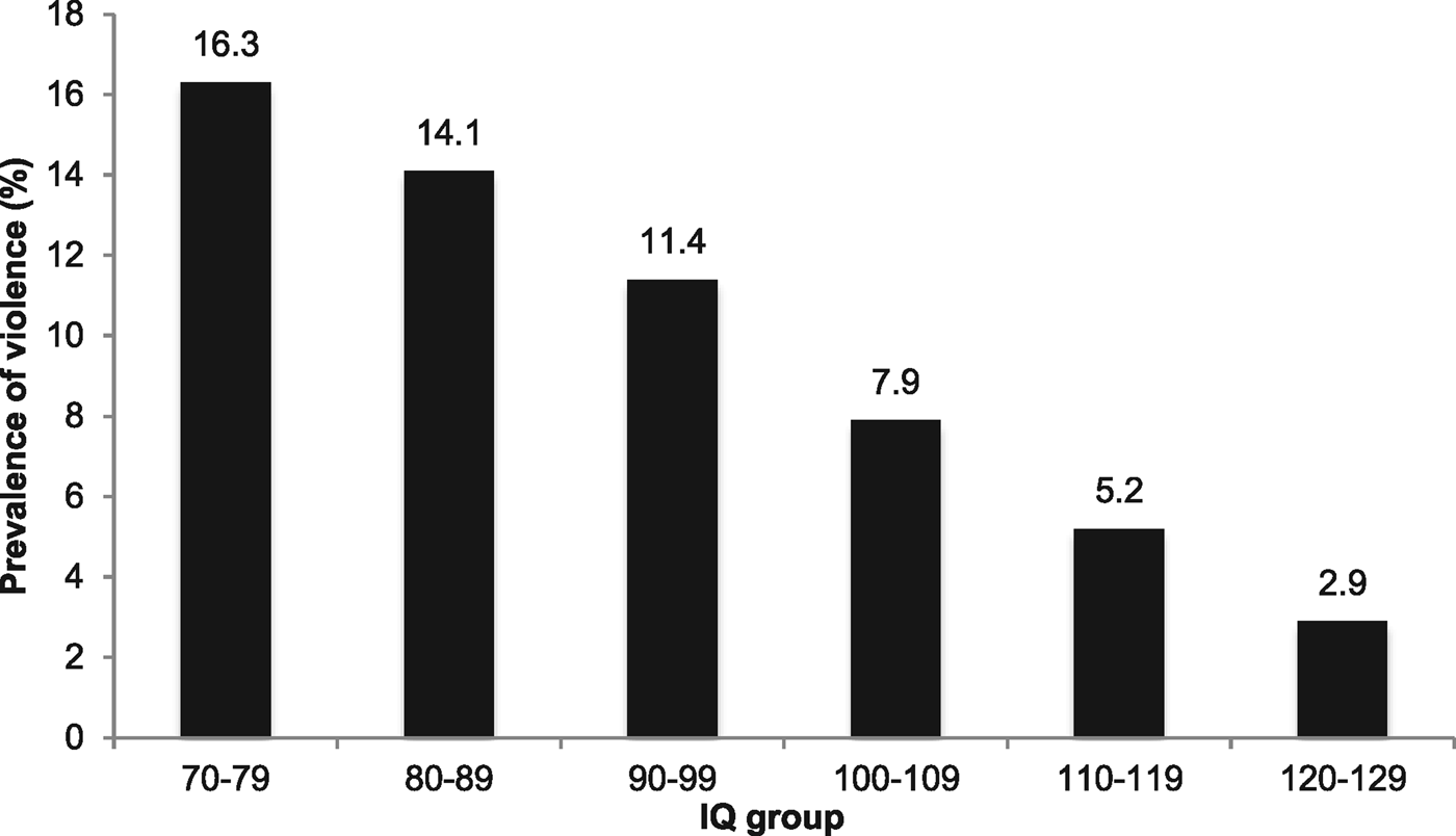
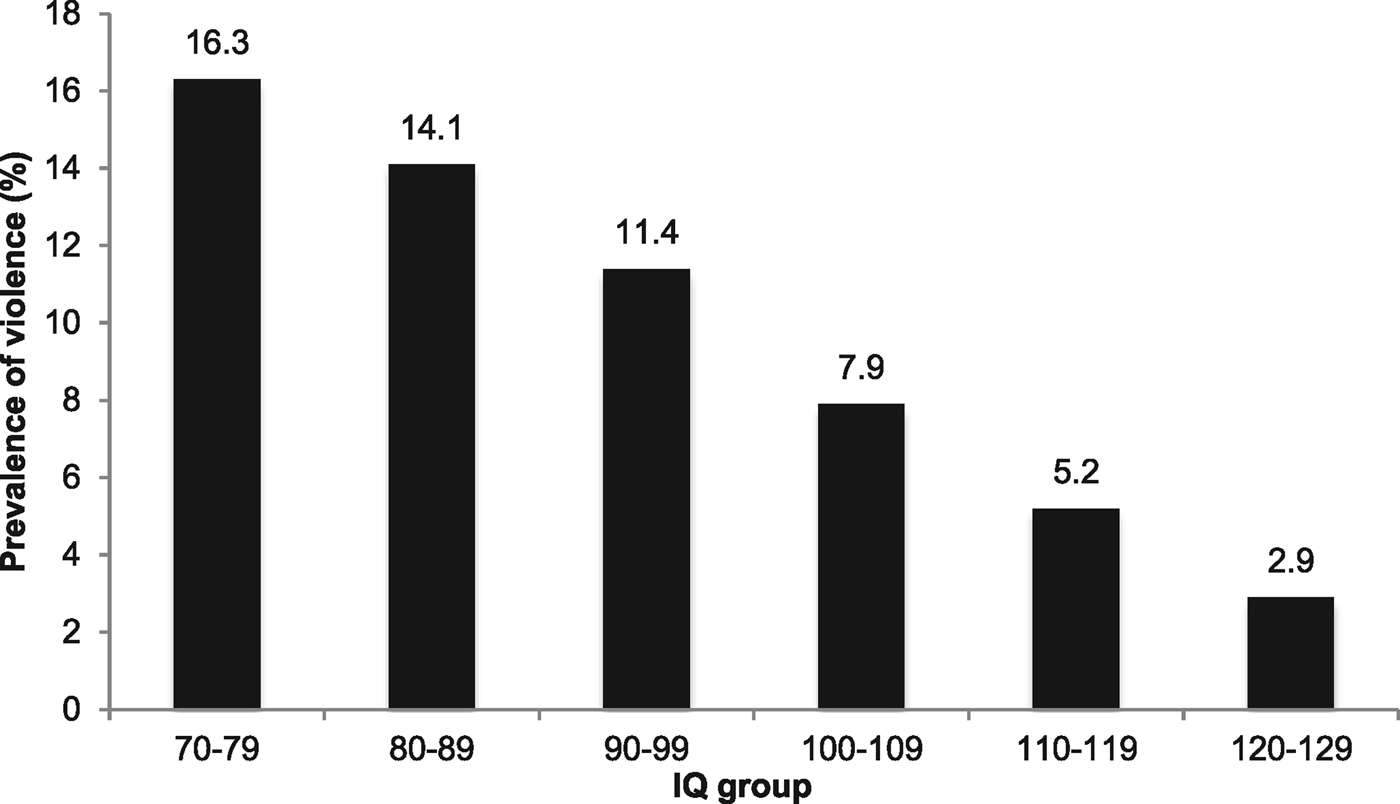
Louis Jacob, Josep Maria Haro, and Ai Koyanagi analyzed data from nearly 7,000 adults aged 16 and above, measuring verbal IQ with the National Adult Reading Test (NART) and assessing violence perpetration over the past five years. As shown in the graph below, the prevalence of violent behavior dropped steadily with increasing IQ: 16.3% of individuals with IQs in the 70-79 range reported violent behavior, compared with just 2.9% of those with IQs of 120-129. The link held even after controlling for demographic factors, childhood adversity, substance use, and mental health.

Why might intelligence lower the risk of violence? Jacob and colleagues suggest several possibilities. First, smarter people tend to do better in school and at work, giving them more stable life circumstances. Second, smarter people tend to be better at anticipating the negative consequences of aggressive actions. And third, smarter people tend to have greater self-control and more empathy: traits that make lashing out less likely.
But although IQ is associated with lower violence, some question whether it actually causes lower violence. Perhaps, they suggest, it’s the other way around: Violence leads to brain injuries that lower an individual’s IQ. Longitudinal studies, however, show that intelligence measured in childhood predicts future violent behavior, suggesting a genuine protective effect. Understanding this effect may help identify at-risk groups and inform interventions aimed at reducing violent behavior.
Follow me on Twitter/X for more psychology, evolution, and science.
How You Can Support the Newsletter
If you want to support my efforts to bring you non-politicized psychology, there are several ways you can do it.
Like and Restack: Click the buttons at the top or bottom of the page to boost the post’s visibility on Substack.
Share: Send the post to friends or share it on social media.
Upgrade to a Paid Subscription: A paid subscription will get you:
Full access to all new posts and the archive
Full access to excerpts from my forthcoming book A Billion Years of Sex Differences (starting soon)
Full access to exclusive content such as my “12 Things Everyone Should Know” posts, Linkfests, and other regular features
The ability to post comments and engage with the N3 Newsletter community.
If you could do any of the above, I’d be hugely grateful. It’s the support of readers like you that makes this newsletter possible.
Thanks!
Steve
Coming Soon to The Nature-Nurture-Nietzsche Newsletter…
The Problem of Free Will, Part 3: Does Free-Will Denial Make Us Bad? (Check out the earlier parts here.)
New Research on the Psychology of Love and Romance
Why Implicit Bias Training is a Waste of Time
Related Reading From the Archive
12 Things Everyone Should Know About Violence
Violence is one of those topics where almost everyone has an opinion, but few have looked at the data. We debate it, fear it, and condemn it - yet much of what we believe about violence is based on hearsay, headlines, and Hollywood rather than solid evidence.
Aggression, Testosterone, and Culture
It’s one of the most explosive debates in psychology: Are men naturally more aggressive than women, or is it all just a product of culture?




Wow. An entire conference devoted to your book!?!
Pretty awesome.
Most writers get barely any recognition at all.
This is a genuine mystery. Violence doesn’t necessarily have bad consequences, looking at it historically and logically. You may correctly calculate that it is to your advantage to be violent.
I suspect there is a difference in effect between socially sanctioned violence and antisocial violence. Very hard to say, because the probability of becoming a beat cop or combat soldier (or kickboxer) is entangled with ability, since that affects your set of alternative careers.